-
Book Overview & Buying
-
Table Of Contents
F# for Machine Learning Essentials
By :
A third view of the task of a recommender system is that it ranks all items with respect to a user (or ranks all user-item pairs), such that the higher-ranked recommendations are more likely to be relevant to users. Individual rating predictions may be incorrect, but, as long as the order is caught correctly, rank accuracy measures will evaluate the system as having a high accuracy.
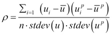
If the variance of one variable can be explained by the variance in another, the two variables are said to correlate. Let
be items and
be their true order rank. Let the recommender system predict the ranks
for these items (i.e.,
is the true rank of the item and
is the predicted rank). Let
be the mean of
, and
be the mean of
. The Spearman's correlation is defined as follows:

The following code finds the coefficient:

Get the raw code at https://gist.github.com/sudipto80/89253a340503f7559cce
This produces the following output:
val p : float = 0.9338995047...
Change the font size
Change margin width
Change background colour