Sign In Start Free Trial
Account

Add to playlist

Create a Playlist

Modal Close icon
You need to login to use this feature.
  • Book Overview & Buying A Practical Guide to Quantum Computing
  • Table Of Contents Toc
A Practical Guide to Quantum Computing

A Practical Guide to Quantum Computing

By : Elías F. Combarro Fernández-Combarro Álvarez, Samuel González Castillo
3 (1)
close
close
A Practical Guide to Quantum Computing

A Practical Guide to Quantum Computing

3 (1)
By: Elías F. Combarro Fernández-Combarro Álvarez, Samuel González Castillo

Overview of this book

This book is an introduction, from scratch, to quantum computing and the most important and foundational quantum algorithms—ranging from humble protocols such as Deutsch’s algorithm to ones with far-reaching potential, such as Shor’s factoring algorithm—offering clear explanations and a hands-on approach with runnable code on simulators and real hardware. The book is self-contained and does not assume any previous experience in quantum computing. Starting with a single qubit, it scales to algorithms using superposition and entanglement. At every step, examples of applications are provided, including how to create quantum money that is impossible to forge, quantum cryptography that cannot be broken, and algorithms for searching and factoring that are much faster than those that regular, non-quantum computers can use. Code for each of these algorithms is provided (and explained in detail) using Qiskit 2.1. After reading this book, you will understand how quantum algorithms work, how to write your own quantum programs, and how to run them on quantum simulators and actual quantum computers. You will also be prepared to take the jump into quantum algorithms for optimization and artificial intelligence, like those presented in our previous book, A Practical Guide to Quantum Machine Learning and Quantum Optimization.
Table of Contents (29 chapters)
close
close
Preface
Lock Free Chapter
1
Part 1 One Qubit to Rule Them All: Working with One Qubit
6
Part 2 Qubit Meets Qubit: Two Qubits and Entanglement
10
Part 3 Working with Many Qubits
14
Part 4 The Stars of the Show: Main Quantum Algorithms
18
Part 5 Ad Astra: The Road to Quantum Utility and Advantage
21
Bibliography
23
Index
3
Appendix C Measuring the Complexity of Algorithms
5
Appendix E Production Notes

Chapter 9

  1. (9.1)

(a)It would collapse to |0⟩√1- 2( |00⟩ + |11⟩).

(b)It would collapse to |ψ⟩|00⟩.

(c)This implies that performing a measurement on the first qubit will have no effect on the two other qubits, and vice versa.

(9.2)

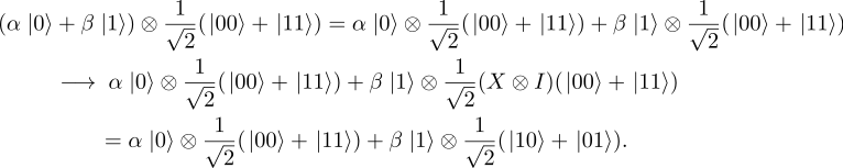
Substituting |ψ ⟩ for α|0⟩ + β|1⟩, we can deduce that the CNOT gate will transform the state as

 1 1 1 (α |0⟩+ β |1⟩)⊗ √-(|00⟩+ |11⟩) = α |0⟩ ⊗ √--(|00⟩+ |11⟩)+ β |1 ⟩⊗ √--(|00⟩+ |11⟩) 2 2 2 −→ α |0⟩⊗ √1-(|00⟩+ |11⟩)+ β |1⟩⊗ √1-(X ⊗ I)(|00⟩ + |11 ⟩) 2 2 -1-- -1-- = α |0⟩ ⊗ √ 2(|00⟩+ |11⟩)+ β |1⟩⊗ √ 2(|10⟩+ |01⟩).

It is (at least from our view) much easier to take this approach than to multiply 8 × 8 matrices.

(9.3)

If the initial Bell state for the entangled pair is √1- 2( |10⟩ + |01 ⟩), then the state right after the application of the first CNOT gate is

√1-(α (|010⟩ + |001 ⟩) + β(|100⟩+ |111⟩)), 2

and thus the state after the application of the subsequent Hadamard gate will be

1 2-(α(|010⟩+ |110⟩+ |001⟩ + |101⟩)+ β(|000⟩− |100⟩+ |011 ⟩− |111⟩)) .

If Alice’s measurement then yields 00, the state will collapse to α|001⟩ + β|000 ⟩, so Bob will have to apply an X gate on its qubit in order to retrieve |ψ ⟩.

(9.4)

These are all the two-bit constant functions:

c (0,0) := 0, c (0,1) := 0, c(1,0) := 0, c (1,1) := 0 1 1 1 1 c2(0,0) := 1, c2(0,1) := 1, c2(1,0) := 1, c2(1,1) := 1

And these are all the balanced ones:

b1(0,0) := 0, b1(0,1) := 0, b1(1,0) := 1, b1(1,1) := 1 b (0,0) := 0, b (0,1) := 1, b(1,0) := 0, b (1,1) := 1 2 2 2 2 b3(0,0) := 1, b3(0,1) := 0, b3(1,0) := 0, b3(1,1) := 1 b4(0,0) := 0, b4(0,1) := 1, b4(1,0) := 1, b4(1,1) := 0 : : : : b5(0,0)= 1, b5(0,1) = 0, b5(1,0) = 1, b5(1,1) = 0 b6(0,0) := 1, b6(0,1) := 1, b6(1,0) := 0, b6(1,1) := 0

(9.5)

Using the enumeration of one-bit Boolean gates that we considered in Section  6...

CONTINUE READING
83
Tech Concepts
36
Programming languages
73
Tech Tools
Icon Unlimited access to the largest independent learning library in tech of over 8,000 expert-authored tech books and videos.
Icon Innovative learning tools, including AI book assistants, code context explainers, and text-to-speech.
Icon 50+ new titles added per month and exclusive early access to books as they are being written.
A Practical Guide to Quantum Computing
notes
bookmark Notes and Bookmarks search Search in title playlist Add to playlist download Download options font-size Font size

Change the font size

margin-width Margin width

Change margin width

day-mode Day/Sepia/Night Modes

Change background colour

Close icon Search
Country selected

Close icon Your notes and bookmarks

Confirmation

Modal Close icon
claim successful

Buy this book with your credits?

Modal Close icon
Are you sure you want to buy this book with one of your credits?
Close
YES, BUY

Submit Your Feedback

Modal Close icon
Modal Close icon
Modal Close icon