-
Book Overview & Buying
-
Table Of Contents
Python Data Analysis Cookbook
By :
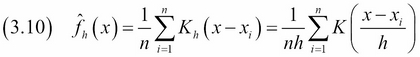
Often, we have an idea about the kind of distribution that is appropriate for our data. If that is not the case, we can apply a procedure called kernel density estimation. This method doesn't make any assumptions and is nonparametric. We basically smooth the data in an attempt to get a handle on the probability density. To smooth data, we can use various functions. These functions are called kernel functions in this context. The following equation defines the estimator:

In the preceding formula, K is the kernel function, a function with properties similar to a PDF. The bandwidth h parameter controls the smoothing process and can be kept fixed or varied. Some libraries use rules of thumb to calculate h, while others let you specify its value. SciPy, statsmodels, scikit-learn, and Seaborn implement kernel density estimation using different algorithms.
In this recipe, we will estimate bivariate kernel density using weather data:
Change the font size
Change margin width
Change background colour