-
Book Overview & Buying
-
Table Of Contents
Python Data Analysis Cookbook
By :
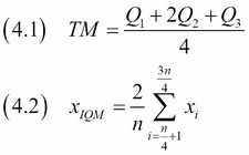
We can measure central tendency with the mean and median. These measures use all the data available. It is a generally accepted idea to get rid of outliers by discarding data on the higher and lower end of a data set. The truncated mean or trimmed mean, and derivatives of it such as the interquartile mean (IQM) and trimean, use this idea too. Take a look at the following equations:

The truncated mean discards the data at given percentiles—for instance, from the lowest value to the 5th percentile and from the 95th percentile to the highest value. The trimean (4.1) is a weighted average of the median, first quartile, and third quartile. For the IQM (4.2), we discard the lowest and highest quartile of the data, so it is a special case of the truncated mean. We will calculate these measures with the SciPy tmean() and trima() functions.
We will take a look at the central tendency for varying levels of truncation with the following steps:
The...
Change the font size
Change margin width
Change background colour